Les ostéodermes sont une structure osseuse qui se retrouve chez de nombreux groupes d’archosauromorphes et notamment les crocodylomorphes. Au sein de Crocodylomorpha, les ostéodermes d’organisent en rangées le long de la colonne vertébrale, et sont présents chez tous les groupes à l’exception des Metriorhynchidae. Ils sont ornementés de diverses manières par des creux et des fosses qui parcourent leur surface. Les ostéodermes jouent un rôle de protection de la colonne vertébrale, tandis que leur ornementation joue un rôle de thermorégulation et de stabilisation du pH sanguin. de Araújo Sena et Cubo analysent ainsi l’ornementation des ostéodermes des crocodylomorphes, afin de prédire leur écologie en fonction de la quantité de creux et des fosses présents.

de Araújo Sena et Cubo signalent que plus le nombre de creux et des fosses sur un ostéoderme sont nombreux et plus celui-ci aura une forte densité de vascularisation. La vascularisation des ostéodermes permet de stabiliser le pH sanguin au cours d’une immersion dans l’eau. Elle est également essentielle dans la thermorégulation car elle permet des échanges thermiques entre la chaleur de l’environnement et le sang. Les formes semi-aquatiques sont exposées à une plus forte perte de chaleur, car l’eau conduit plus facilement la chaleur que l’air. En conséquence, de Araújo Sena et Cubo suggèrent que les crocodylomorphes semi-aquatiques ont de plus grands besoins en thermorégulation que les formes terrestres. Par conséquent, les crocodylomorphes semi-aquatiques auront une plus forte densité de creux et de fosses sur leurs ostéodermes.

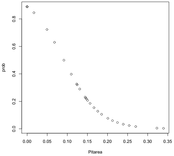
Sur la base de cette hypothèse, de Araújo Sena et Cubo ont réalisé une analyse de densité des creux et des fosses sur les ostéodermes de 41 spécimens de crocodylomorphes. Cet échantillon comprend 5 crocodiliens actuels, 3 crocodiliens fossiles, 7 tethysuchiens, un neosuchien basal et 25 notosuchiens. Grâce à cette analyse, ils ont réalisé un modèle mathématique afin de connaître la probabilité qu’un taxon soit terrestre. Si cette probabilité est au-dessus de 0,73, alors le taxon est terrestre. Dans le cas contraire, il est supposé semi-aquatique.

de Araújo Sena et Cubo utilisent leur modèle mathématique afin de prédire l’écologie de taxons fossiles à l’écologie controversée. Peirosaurus est un crocodylomorphe notosuchien considéré comme semi-aquatique, mais que d’autres études ont considéré comme terrestre. Le modèle de de Araújo Sena et Cubo trouve une probabilité que Peirosaurus soit terrestre qui est de 0,008, un score inférieur à 0,73. Suite à ce résultats, Peirosaurus est donc supposé être un taxon semi-aquatique. Microsuchus est également un notosuchien, connu de restes trop fragmentaires pour déduire son écologie à partir de sa morphologie. Le modèle de de Araújo Sena et Cubo trouve une probabilité que Microsuchus soit terrestre qui est de 0,894, un score supérieur à 0,73. Suite à ce résultats, Microsuchus est donc supposé être un taxon terrestre.

de Araújo Sena et Cubo estiment que les grands notosuchiens terrestres, comme par exemple les baurusuchidés, ont vu leur ornementation des ostéodermes réduite car leur température corporelle est restée relativement stable en raison de l’inertie thermique. Ils notent qu’en revanche, les petits notosuchiens terrestres ont compensé leur manque d’ornementation en profitant de l’exposition au soleil tôt le matin pour se réchauffer et en restant dans des terriers pendant les périodes de rayonnement solaire intense. Certains notosuchiens terrestres présentent toutefois des ostéodermes bien ornementés, avec par exemple Araripesuchus. Il peut s’agit de genres semi-aquatiques mais leur anatomie ne le suggère pas. Ils ont plus probablement utilisé leur ornementation pour stocker la chaleur avant d’entamer de longues périodes de recherche de nourriture dans des zones fraîches.

Finalement, de Araújo Sena et Cubo proposent une explication pour l’absence d’ostéodermes chez les metriorhynchidés. Selon eux, cette famille de crocodylomorphes n’avait pas besoin d’ostéodermes pour la thermorégulation, car c’étaient des genres marins qui nageaient en permanence. De plus, les ostéodermes ont pu être un obstacle à une nage plus rapide et agile. Les ostéodermes n’étant plus un avantage évolutif en pleine mer, les metriorhynchidés ont donc progressivement perdu ce caractère.

En 2022, Pochat-Cottilloux et ses collègues avaient déjà réalisé une étude portant sur la signification écologique de l’ornementation des ostéodermes des crocodylomorphes (voir cet article). Leur étude s’est concentrée sur l’aspect ostéohistologique de la question, et leurs conclusions rejoignent celles de de Araújo Sena et Cubo. La seule différence réside dans l’interprétation de l’écologie des notosuchiens aux ostéodermes ornementés. Pochat-Cottilloux et ses collègues les considère tous semi-aquatiques, sans prendre en compte leur morphologie. de Araújo Sena et Cubo discriminent ce dernier point, en déclarant que certains notosuchiens aux ostéodermes ornementés comme Araripesuchus sont terrestres.
Références : de Araújo Sena, M.V.; Cubo, J., 2023, Inferring the lifestyles of extinct Crocodyliformes using osteoderm ornamentation. The Science of Nature. 110: 41.
Pochat-Cottilloux, Y.; Martin, J.E.; Amiot, R.; Cubo, J.; de Buffrénil, V., 2022, A survey of osteoderm histology and ornamentation among Crocodylomorpha: A new proxy to infer lifestyle? Journal of Morphology. 284(1): e21542.
Leardi, J.M.; Fiorelli, L.E.; Gasparini, Z., 2015, Redescription and reevaluation of the taxonomical status of Microsuchus schilleri (Crocodyliformes: Mesoeucrocodylia) from the Upper Cretaceous of Neuquén, Argentina. Cretaceous Research. 52: 153–166.
Toutes les images proviennent de de Araújo Sena et Cubo, 2023 à l’exception de la quatrième qui provient de Leardi et al., 2015, de la cinquième qui est une œuvre de Scott Hartman et de la dernière qui est une œuvre de Tosha Hollmann
2 commentaires sur « Les ostéodermes permettent de déduire le milieu de vie des crocodylomorphes »