La formation géologique de Morrison date du Kimméridgien-Tithonien et affleure sur une grande partie de l’ouest des Etats-Unis. Elle représente une grande plaine parcourue de lacs et de cours d’eau, encadrée par des forêts à l’est et à l’ouest, et par une zone aride au sud. Une faune très diversifiée de dinosaures y a été découverte, avec de nombreux genres de sauropodes bien connus du grand public, comme Diplodocus ou Brachiosaurus. Les os de sauropodes sont donc très abondants dans la formation géologique de Morrison, mais leurs pathologies ont été peu étudiées. Lei et ses collègues étudient ainsi un vaste échantillon d’os de sauropodes, afin d’analyser les marques de morsure qui s’y trouvent.

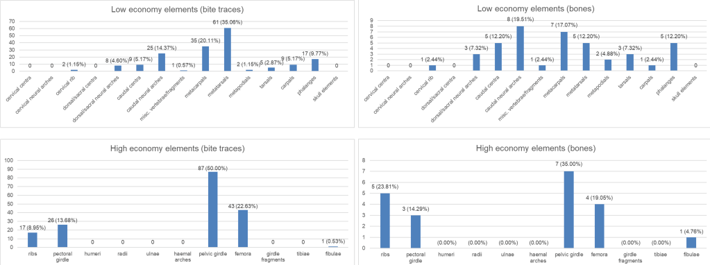
Lei et ses collègues ont analysé plus de 600 os de sauropodes découverts dans la formation géologique de Morrison. Ils ont identifié des marques de morsure sur 68 os, appartenant en tout à 40 individus. Les sauropodes concernés sont des sauropodes indéterminés, des diplodocidés (Diplodocus, Apatosaurus, Galeamopus et Kaatedocus), des dicraeosauridés (Suuwassea) et des camarasauridés (Camarasaurus). Il en résulte qu’environ 11% des os étudiés présentent des morsures, ce qui se rapproche de la proportion des os mordus dans les faunes dominées par les tyrannosauridés.

Il existe différents types de marques de dents identifiés par Lei et ses collègues. Les marques de traînée (« Drag ») sont causées par le glissement des dents, en laissant le cortex osseux intact. Les marques de morsure et traînée (« Bite and Drag ») sont causées par le glissement des dents, en endommageant le cortex osseux. Les marques en fosse (« Pit ») sont causées par une morsure droite, sans traînée, qui laisse intact le cortex osseux. Les marques en ponction (« Puncture ») sont causées par une morsure droite, sans traînée, qui endommage le cortex osseux. Enfin, les marques ablateuses (« Removed ») sont causées par une morsure entraînant l’ablation complète d’une partie d’un os.

Lei et ses collègues ont analysé les différents prédateurs de la formation géologique de Morrison, afin de déterminer les auteurs de ces morsures. Seuls des prédateurs de grande taille aux dents ziphodonte ont réalisé ces morsures, ce qui correspond aux grands théropodes. Pour Lei et ses collègues, les prédateurs qui ont mordu ces os de sauropodes peuvent être le ceratosauridé Ceratosaurus, les allosauridés Allosaurus et Saurophaganax, le megalosauridé Torvosaurus et le piatnitzkysauridé Marshosaurus. Ils notent toutefois qu’il est impossible de connaître avec précision l’auteur de chaque morsure avec les données actuelles.

Lei et ses collègues peuvent toutefois éliminer certaines hypothèses pour certains types de marques. Les marques de dents avec un motif symétrique et composé de plus de huit rainures avec les deux rainures centrales largement séparées peuvent être attribuées avec certitude aux allosauridés. Les marques de dents avec un motif symétrique composé de six rainures avec les deux rainures centrales particulièrement rapprochées sont probablement faites par un megalosauridé ou un piatnitzkysauridé. Enfin, les marques de dents asymétriques peuvent être réalisées par n’importe lequel des grands théropodes de la formation géologique de Morrison.

Pour savoir si une marque de dent a été produite par un charognard ou par un chasseur actif qui a attaqué le sauropode, Lei et ses collègues ont analysé plusieurs indices. Tout d’abord, les traces de cicatrisation sur les marques de dents indiquent que le sauropode a été attaqué mais a survécu. Les prédateurs actifs chassant les sauropodes ont également pu viser des zones stratégiques pour immobiliser le sauropode (articulations du genou, du coude et de la queue) ou pour le blesser gravement (cou). Le prédateur qui a tué le sauropode a accès en premier à la nourriture, et se sera donc nourri des parties du corps les plus riches en énergie.

La présence de marques de dents sur des zones inaccessibles du vivant de l’animal, comme par exemple l’ilium ou le sommet des vertèbres dorsales, indique que ces os ont été mordus lorsque l’animal était mort, couché au sol. Les zones articulaires des os ont été mordues abondamment, en majorité pour désarticuler la carcasse. Les éléments mordus au niveau de zones faibles en énergie, comme les extrémités des membres, n’ont pas pu intéresser le prédateur qui a tué l’animal. Ils ont donc probablement été consommés par des charognards.

Lei et ses collègues constatent que les dents des grands théropodes de la formation géologique de Morrison sont souvent usées. Cette usure dentaire est liée au contact des dents avec des surfaces dures, en l’occurrence des os. Cependant, la proportion des os de sauropodes mordus est assez faible par rapport à l’usure dentaire des théropodes. Lei et ses collègues suggèrent que les grands théropodes se sont principalement nourri de sauropodes juvéniles. En effet, ils se seraient nourri de la majorité leur corps, en mordant leurs os beaucoup plus souvent. Cela expliquerait la rareté des sauropodes juvéniles fossilisés et l’usure dentaire des théropodes.

Dans la formation géologique de Morrison, les grands théropodes ont donc majoritairement chassé les juvéniles de sauropodes, régulant ainsi leur population. Ils pouvaient occasionnellement chasser des adultes, mais cela aurait été des proies beaucoup plus difficiles à chasser. Par conséquent, comme les marques de dents analysées par Lei et ses collègues le prouvent, les sauropodes adultes étaient surtout une source de nourriture pour les charognards.

Référence : Lei, R.; Tschopp, E.; Hendrickx, C.; Wedel, M.J.; Norell, M.; Hone, D.W.E., 2023, Bite and tooth marks on sauropod dinosaurs from the Morrison Formation. PeerJ. 11: e16327.
Toutes les images proviennent de Lei et al., 2023, à l’exception de la première, de la deuxième et de la dernière qui sont des œuvres de Scott Hartman